website page counter

Contoh Soal Pembagian Aljabar Kelas 7

Best image references website

Contoh Soal Pembagian Aljabar Kelas 7. Contoh soal pembagian aljabar kelas 7 dan pembahasannya brainly. Soal aljabar ini terdiri dari 25 butir soal pilihan ganda.

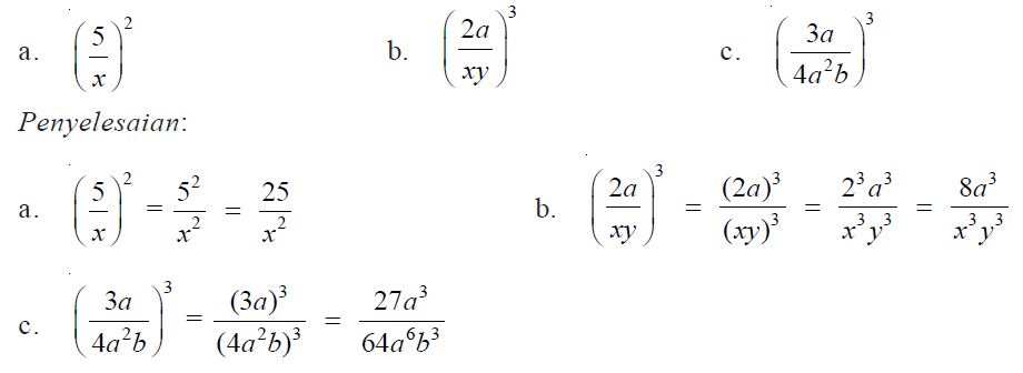
Contoh Soal Operasi Aljabar Jumlah Kurang Kali Bagi Pangkat
Contoh Soal Operasi Aljabar Jumlah Kurang Kali Bagi Pangkat from hindayani.com

Oleh admin diposting pada 4 oktober 2020. Guru sd smp sma contoh soal pembagian aljabar smp kelas 7. Contoh soal perkalian dan pembagian bentuk aljabar kelas 7.

Bentuk aljabar di atas memiliki tiga suku di mana 3 koefisien dari x 4 koefisien dari y dan 5 adalah konstanta x dan y adalah variabel.

Plus contoh soal dan pembahasannya. Contoh soal aljabar kelas 7 smp plus jawaban dan pembahasan. Uji kompetensi 3 halaman 240 mtk bab 3 aljabar brainly co id. Plus contoh soal dan pembahasannya.

close